Question
Black holes with masses smaller than those formed in supernovas may have been created in the Big Bang. Calculate the radius of one that has a mass equal to the Earth's.
Question by OpenStax is licensed under CC BY 4.0
Final Answer
8.86 mm8.86 \textrm{ mm} No wonder they are so hard to observe!

Solution video

OpenStax College Physics for AP® Courses, Chapter 34, Problem 23 (Problems & Exercises)

OpenStax College Physics, Chapter 34, Problem 23 (PE) video thumbnail

In order to watch this solution you need to have a subscription.

Start free trial Log in
vote with a rating of votes with an average rating of .

Calculator Screenshots

  • OpenStax College Physics, Chapter 34, Problem 23 (PE) calculator screenshot 1
Video Transcript
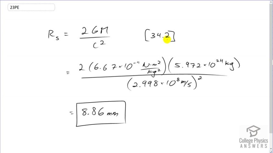
This is College Physics Answers with Shaun Dychko. We are going to calculate the size of a black hole that has the mass of the Earth. So the Schwarzschild radius from equation 2 in chapter 34 it's 2 times the gravitational constant times the mass divided by c squared. So this is the distance to the event horizon around the black hole and so that's gonna be 2 times 6.67 times 10 to the minus 11 newton meter squared per kilogram squared times mass of the Earth divided by the speed of light squared giving a radius of 8.86 millimeters.