Question
(a) Is the decay possible considering the
appropriate conservation laws? State why or why not. (b) Write the decay in terms of the quark constituents of the particles.
Final Answer
- Yes, this spontaneous decay is possible.
Solution video
OpenStax College Physics for AP® Courses, Chapter 33, Problem 31 (Problems & Exercises)

vote with a rating of
votes with an average rating of
.
Calculator Screenshots
Video Transcript
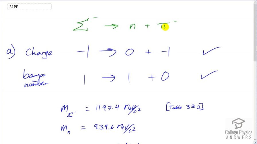
This is College Physics Answers with Shaun Dychko. We are going to confirm that conservation laws are respected in this decay of a sigma minus into a neutron and a negative pion. So we'll consider charge conservation first; we have a total of negative 1 charge on the left side on the right side, we have 0 charge for the neutron and negative 1 for the negative pion and so yes, charge is conserved. And for baryon number, the negative sigma has a baryon number of 1 the neutron has a baryon number of 1 as well and the negative pion has a baryon number of 0 and so we have 1 on the left and a total of 1 on the right and so yes, baryon number is conserved. We can also look at energy considerations; in order for this decay to be spontaneous, the total energy of these two products has to be less than the energy that we started with. So we look up the masses of the negative sigma particle and the neutron and the negative pion in table [33.2] and then we see that when we add the mass of the neutron to that of the negative pion, that total is less than what you start with with the sigma minus or, in other words, the mass of the sigma minus is greater than the total mass of the neutron and the negative pion. So considering energy and baryon number and charge; all check out then you can say yes, this spontaneous decay is possible. In part (b), we write this decay in terms of quark constituents. The negative sigma is made up of a down, down and strange quark and it turns into a neutron with an up, down, down quark and a negative pion which is an anti-up quark and a down quark. And we can see that the strangeness is not conserved and that's okay if this decay is mediated by the weak nuclear force.