Question
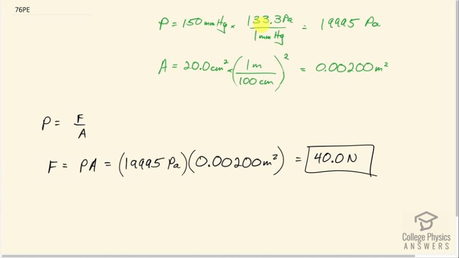
Calculate the maximum force in newtons exerted by the blood on an aneurysm, or ballooning, in a major artery, given the maximum blood pressure for this person is 150 mm Hg and the effective area of the aneurysm is . Note that this force is great enough to cause further enlargement and subsequently greater force on the ever-thinner vessel wall.
Final Answer
Solution video
OpenStax College Physics for AP® Courses, Chapter 11, Problem 76 (Problems & Exercises)

vote with a rating of
votes with an average rating of
.
Calculator Screenshots
Video Transcript
This is College Physics Answers with Shaun Dychko. The pressure on this aneurysm is 150 milliliters of mercury which we convert into pascals by multiplying by 133.3 pascals per mm Hg which is 19995 pascals. The area of the aneurysm is 20.0 square centimeters which we multiply by 1 meter for every 100 centimeters twice and that's 0.00200 meters squared. Now we want to find the force on this aneurysm and that is by rearranging this pressure formula, which is force divided by area, we can solve for F by multiplying both sides by A and we get that the F is P times A. So there's the pressure multiplied by the area and that is 40.0 newtons.