Question
If the pressure in the esophagus is −2.00 mm Hg while that in the stomach is +20.0 mm Hg , to what height could stomach fluid rise in the esophagus, assuming a density of 1.10 g/mL? (This movement will not occur if the muscle closing the lower end of the esophagus is working properly.)
Final Answer
Solution video
OpenStax College Physics for AP® Courses, Chapter 11, Problem 74 (Problems & Exercises)

vote with a rating of
votes with an average rating of
.
Calculator Screenshots
Video Transcript
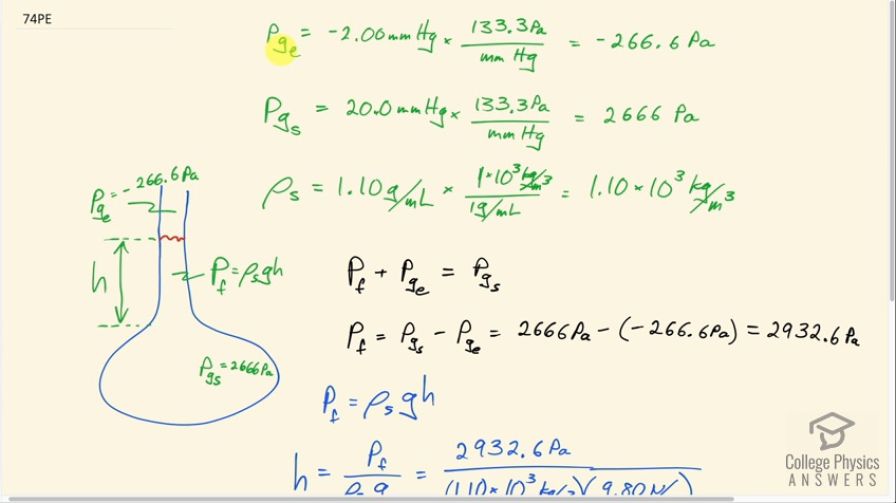
This is College Physics Answers with Shaun Dychko. The gauge pressure in the esophagus and that is to say the amount of pressure compared to atmospheric pressure is 2 millimeters of mercury below atmospheric pressure so negative 2 mm Hg. And we convert that into pascals by multiplying by 133.3 pascals per mm Hg which is negative 266.6 pascals. The gauge pressure in the stomach is 20 mm Hg which is 2666 pascals and we are told the density of stomach fluid is 1.10 grams per milliliter and since I have these in mks units, pascals, let's convert this into an mks unit— a meters, kilograms and seconds type unit— and a standard unit and so we multiply by 1.10 times 10 to the 3 kilograms per cubic meter for every gram per milliliter and we end up with 1.10 times 10 to the 3 kilograms per cubic meter. Okay! So as in many of our fluid questions in chapter 11, we have to do lots of unit conversions and we take care of that all at this stage where we write down the information that we are given. Now let's think about the physics of the situation. So we have pressure in the stomach which is pushing some column of fluid up the esophagus because, you know, the muscle here that separates the stomach from the esophagus, for some reason, is not functioning properly and it's allowing the fluid to go up and it will go up to some maximum height at which point the pressure at the top of the esophagus— negative 266.6 pascals— plus the pressure of this column of fluid which has a formula density of the fluid times gravitational field strength times the height of the column, h; those two pressure's combined have to equal the stomach pressure and then it will stop moving it up anymore because, you know, the force on this layer of fluid down is gonna equal the force on this layer of fluid up because in other words, the pressure down is the same as the pressure up. Okay! So to say with algebra what I was saying before, the pressure due to the fluid plus the pressure due to the esophagus has to, in total, equal the pressure in the stomach. And so we need to find the pressure due to the fluid because then that has a formula— ρ times g times h— which we can then rearrange to solve for h. And so we'll subtract pressure in the esophagus from both sides and there's a little g there to say it's the gauge pressure and so the pressure due to the fluid is the difference that's 2666 pascals minus negative—and remember to notice those two negatives there make a plus— minus negative 266.6 pascals which is 2932.6 pascals so that's the pressure due to this column of stomach fluid. And then we can take this formula for the pressure due to a column of fluid and solve it for h by dividing both sides by ρ s times g. And we get the height is the pressure divided by the density of the fluid times 9.80 newtons per kilogram and we get 27.2 centimeters will be the height of the column of stomach fluid in the esophagus.