Question
    
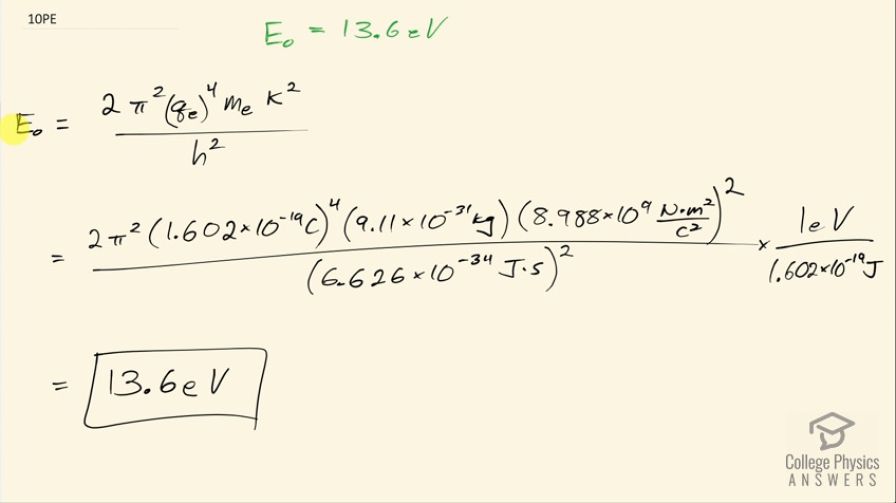
    Verify that the ground state energy  is  by using .
  
Final Answer
    
      Please see the solution video.
    
  Solution video
OpenStax College Physics for AP® Courses, Chapter 30, Problem 10 (Problems & Exercises)
 
  
      vote with a rating of
      votes with an average rating of
      .
      
      
    
    
  Calculator Screenshots
Video Transcript
  This is College Physics Answers with Shaun Dychko. We are going to confirm that the binding energy of an electron in the ground state of hydrogen is 13.6 electron volts; we are told that the ground state energy has this formula: 2 times π squared times the elementary charge to the power of 4 times the mass of an electron times coulomb's constant squared divided by Planck's constant squared. So we plug in values for each of these constants and then at the end convert from joules into electron volts by multiplying by 1 electron volt for every 1.602 times 10 to the minus 19 joules because this whole thing here will give an answer in joules since we have used mks units in our quantities here. Now for my calculator—your calculator might be different— but for my calculator, I had to change this exponent to a 3 and then not divide by this thing because, you know, 1.602 times 10 to the minus 19 to the power of 4 divided by 1.602 times 10 to the minus 19 is just this number to the power of 3 and I needed to do that because with an exponent 4 here and then multiplying by something times 10 to the minus 31 the calculator just essentially thought the number was zero and it couldn't handle such a small value so in case you are getting zero on your calculator that's a little trick. So the answer is 13.6 electron volts as we expect.
